John Droll named to Italy City Council
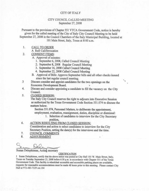
Agenda for meeting 9/27/2008 — Agenda for the called Italy city council meeting held Saturday, September 27, at 8:00 a.m. (City of Italy)
The Italy City Council named John Droll to the city council at a called meeting Saturday morning in council chambers. He will replace the seat recently vacated by Jimmy Hyles.
Mayor Frank Jackson broke the tie between Droll and Janet Campbell. Council member Rodney Guthrie nominated Droll with Dennis Perkins Jr. voting with Guthrie. Mark Souder Sr. and Greg Richards voted for Janet Campbell. Others considered to fill the vacated post included Tom Little, Conrad Kinze, Mark Souder Jr., Vic Delephimne and Ed Alvarado.
Droll, originally elected to fill the vacated post, resigned shortly after the election in May for personal reasons. The council appointed Hyles to fill the vacancy but he resigned shortly after the appointment.
Guthrie said he was impressed with the number of persons interested in the council position and hoped that kind of interest was still there when elections roll around.
The council also named Elmerine Bell and Ann Byers to the Economic Development Board.
Following a brief executive session, the council reconvened and named six persons to interview for the vacated city secretary position. They are Connie Mondragon, Susan Delephimne, Joe Gambill, Susan Harris, Angela Claversy and Joycelyn Cofer. The council will interview this group on Oct. 7.
The council hired Kandice Hubert as interim city administrator in July.
The mayor thanked the council and his staff for a successful year. “It has been a hard year but we got the job done as a council.”
