• Neotribune®

Image:

Italy Neotribune

  • Front Page
  • Sections
  • Youtube

Agenda: City Council Meeting August 17, 2009

  • « previous
  • story
  • album
  • next »
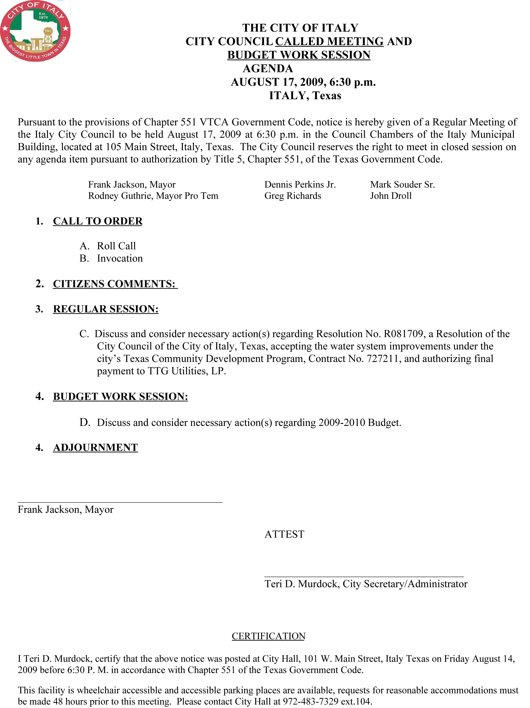
Image: Italy City Council Meeting of Agenda – August 17, 2009

Italy City Council Meeting of Agenda – August 17, 2009 (www.ci.italy.tx.us)

Download original photo

© 2002-2018 Neotribune Inc | Terms of Service | Privacy Policy | Trademarks | Contact