• Neotribune®

Image:

Italy Neotribune

  • Front Page
  • Sections
  • Youtube

Agenda: Italy City Council Meeting, June 14, 2010

  • « previous
  • story
  • album
  • next »
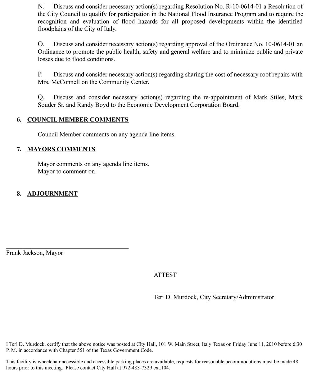
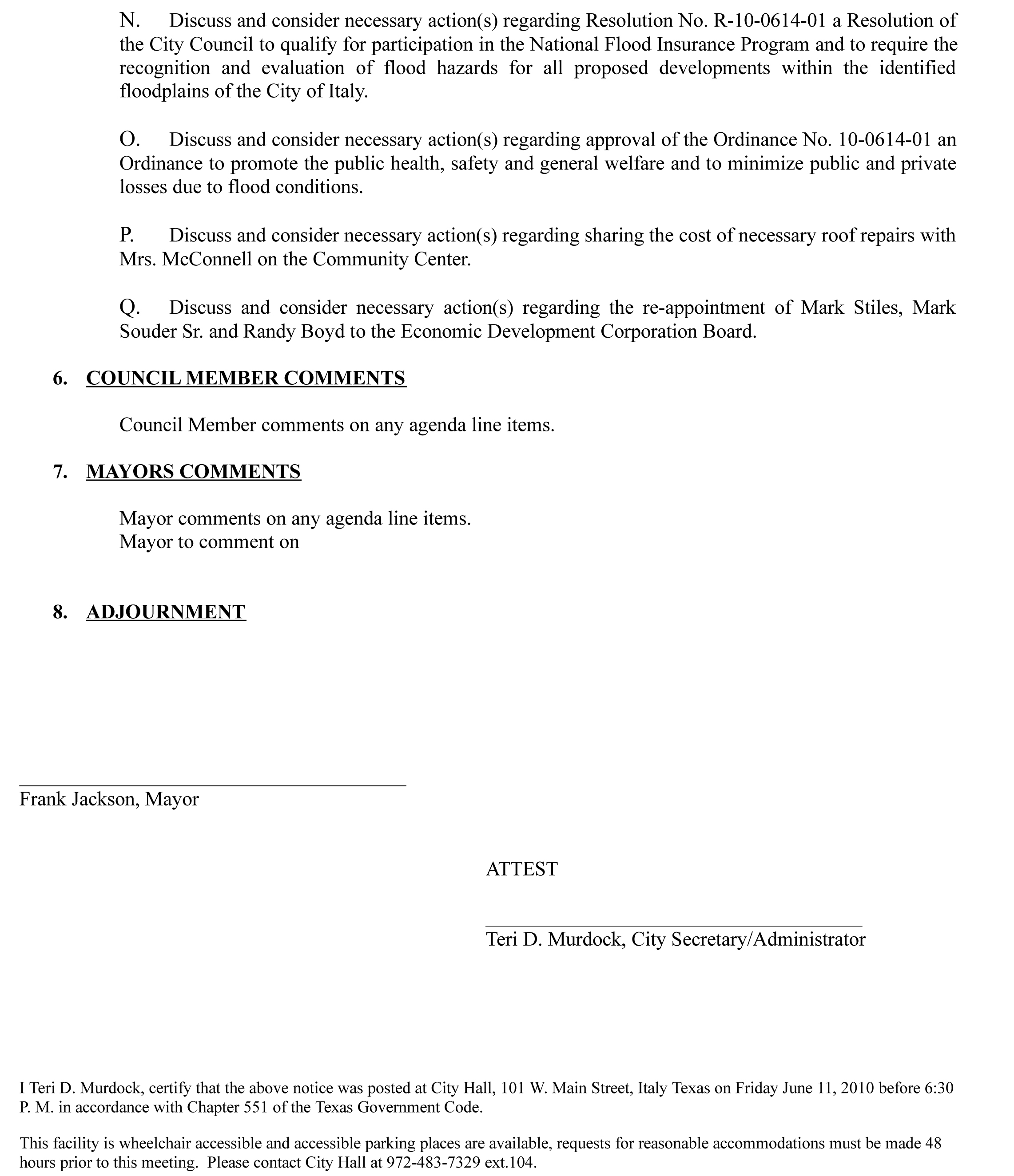
Image: Agenda, page 2

Agenda, page 2

Download original photo

© 2002-2018 Neotribune Inc | Terms of Service | Privacy Policy | Trademarks | Contact