• Neotribune®

Image:

Italy Neotribune

  • Front Page
  • Sections
  • Youtube

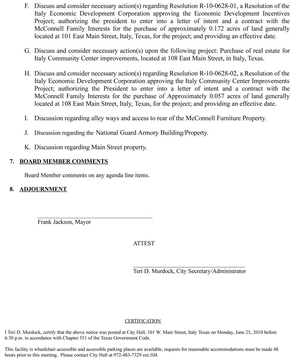
Agenda: Italy EDC Public Hearing and Meeting, June 28, 2010

  • « previous
  • story
  • album
  • next »
Image: EDC Agenda: page 2

EDC Agenda: page 2

Download original photo

© 2002-2018 Neotribune Inc | Terms of Service | Privacy Policy | Trademarks | Contact