• Neotribune®

Image:

Italy Neotribune

  • Front Page
  • Sections
  • Youtube

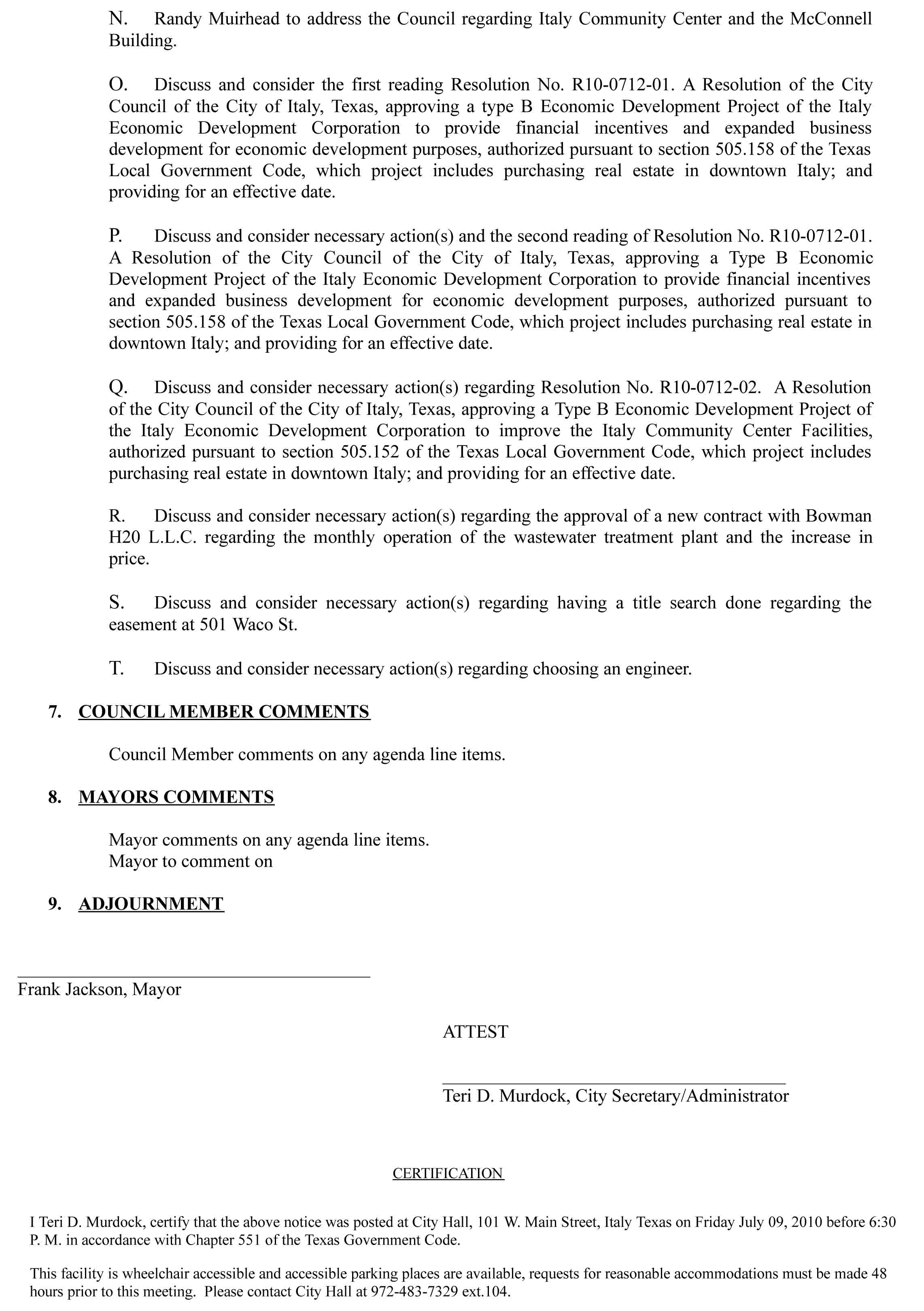
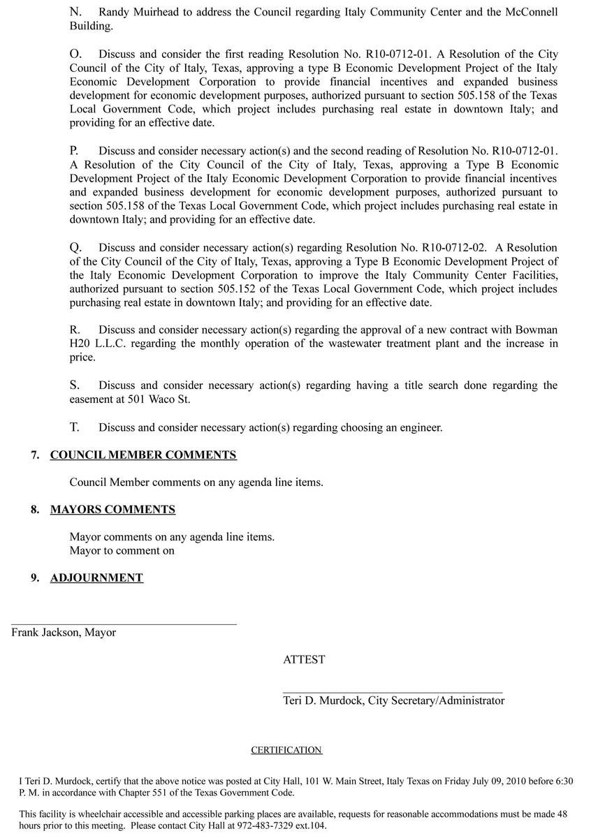
Agenda: Italy City Council Meeting, July 12, 2010

  • « previous
  • story
  • album
  • next »
Image: Agenda – page 2

Agenda – page 2

Download original photo

© 2002-2018 Neotribune Inc | Terms of Service | Privacy Policy | Trademarks | Contact