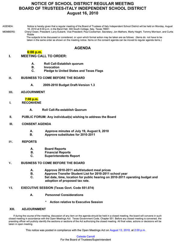
Agenda: Italy ISD School Board Meeting, August 16, 2010
Agenda
There will be a regular monthly meeting of the Italy ISD School Board Trustees on Monday, August 16, 2010. The meeting will begin with a budget workshop at 6:00pm and will adjourn and reconvene at 7:00pm into the regular school board meeting. The meeting will be held in the Band Hall of the Italy ISD High School campus at 300 South College.
Agenda items include:
- Approve 2010-2011 adult/student meal prices
- Approve Transfer Student List for 2010-2011 school year
- Set date, time, location for public hearing on 2010-2011 operating budget and adoption of proposed tax rate.
This meeting is open to the public.
If during the course of the meeting, discussion of any item on the agenda should be held in a closed meeting, the board will convene in such closed meeting in accordance with the Open Meetings Act: Texas Government Code, Chapter 551. Before any closed meeting is convened, the presiding officer will publicly identify the sections or sections of the Act authorizing the closed meeting. All final votes, actions or decisions will be taken in open meeting.
