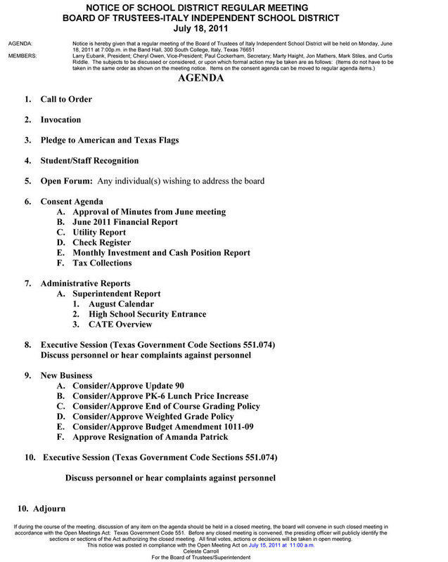
Agenda: Italy School Board Meeting—Monday, July 18, 2011
The Italy ISD Board of Trustees will have their regular monthly meeting on Monday, July 18, 2011. Meeting time is set for 7:00pm and will be held in the Italy High School band hall at 300 S. College. The board will have a full agenda of items to consider.
Agenda Items under New Business:
- Consider/Approve Update 90
- Consider/Approve PK-6 Lunch Price Increase
- Consider/Approve End of Course Grading Policy
- Consider/Approve Weighted Grade Policy
- Consider/Approve Budget Amendment 1011-09
- Approve Resignation of Amanda Patrick
This meeting is open to the public and everyone is welcome to attend.
