• Neotribune®

Image:

Italy Neotribune

  • Front Page
  • Sections
  • Youtube

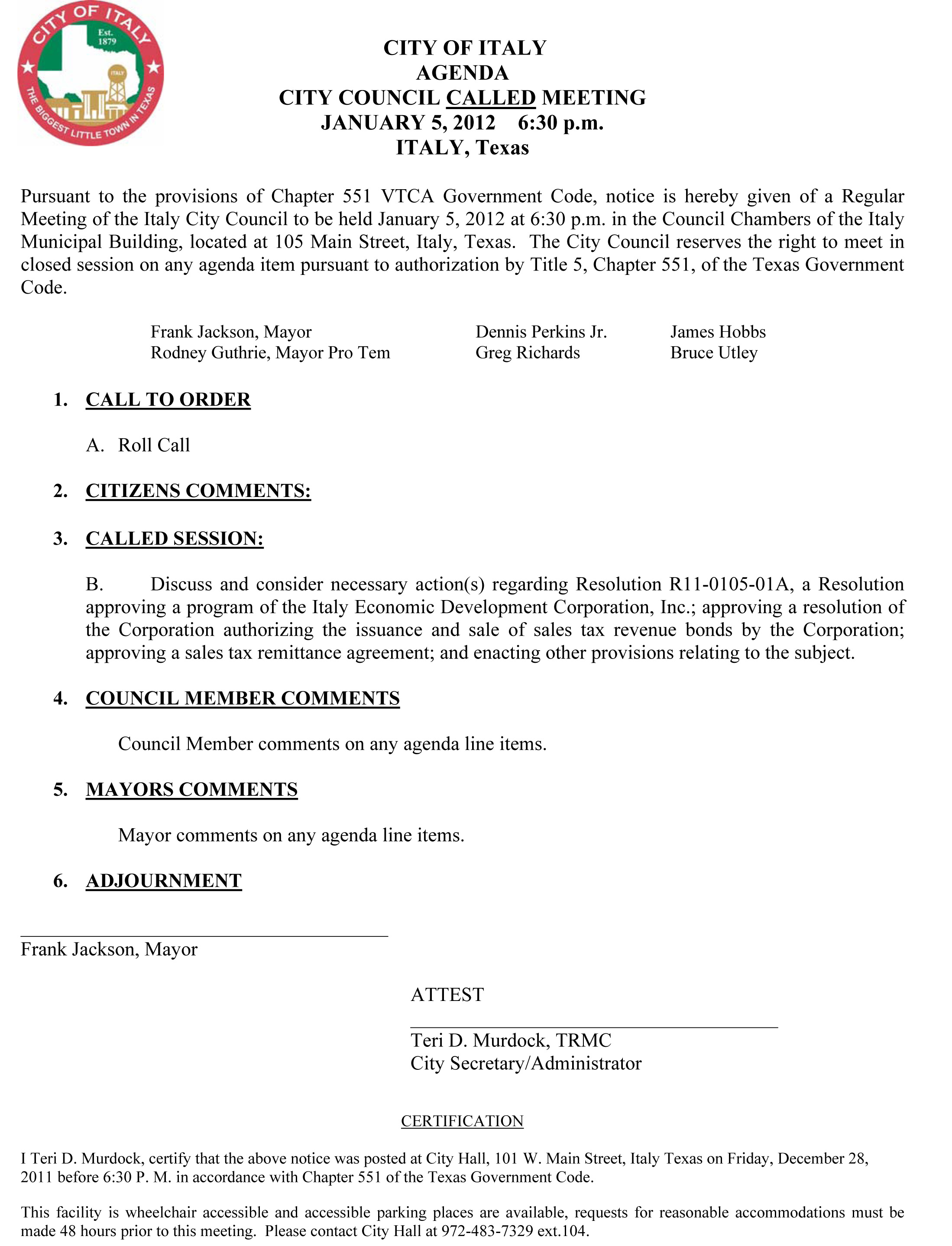
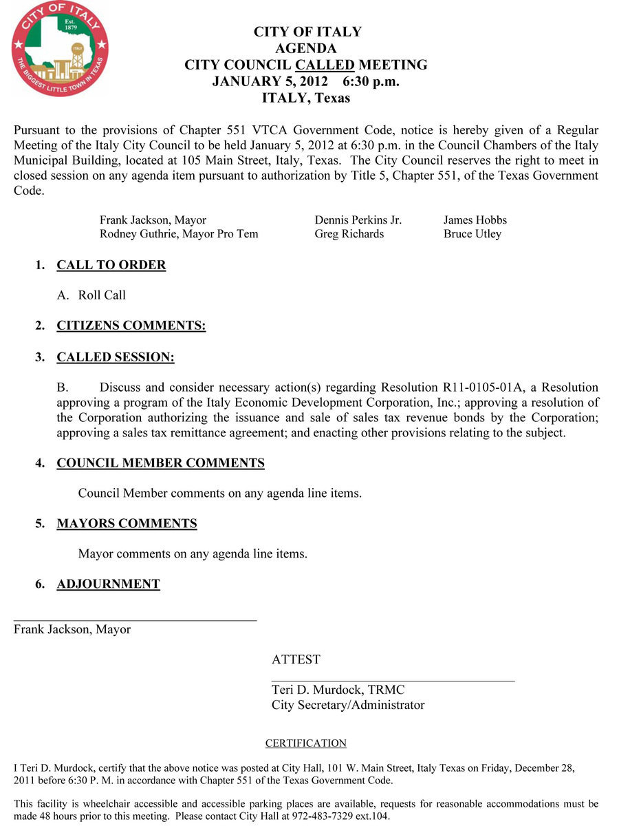
Agenda: Italy City Council Called Meeting – Thursday, January 5, 2012

  • « previous
  • story
  • album
  • next »
Image: Agenda

Agenda (www.ci.italy.tx.us)

Download original photo

© 2002-2018 Neotribune Inc | Terms of Service | Privacy Policy | Trademarks | Contact