• Neotribune®

Image:

Italy Neotribune

  • Front Page
  • Sections
  • Youtube

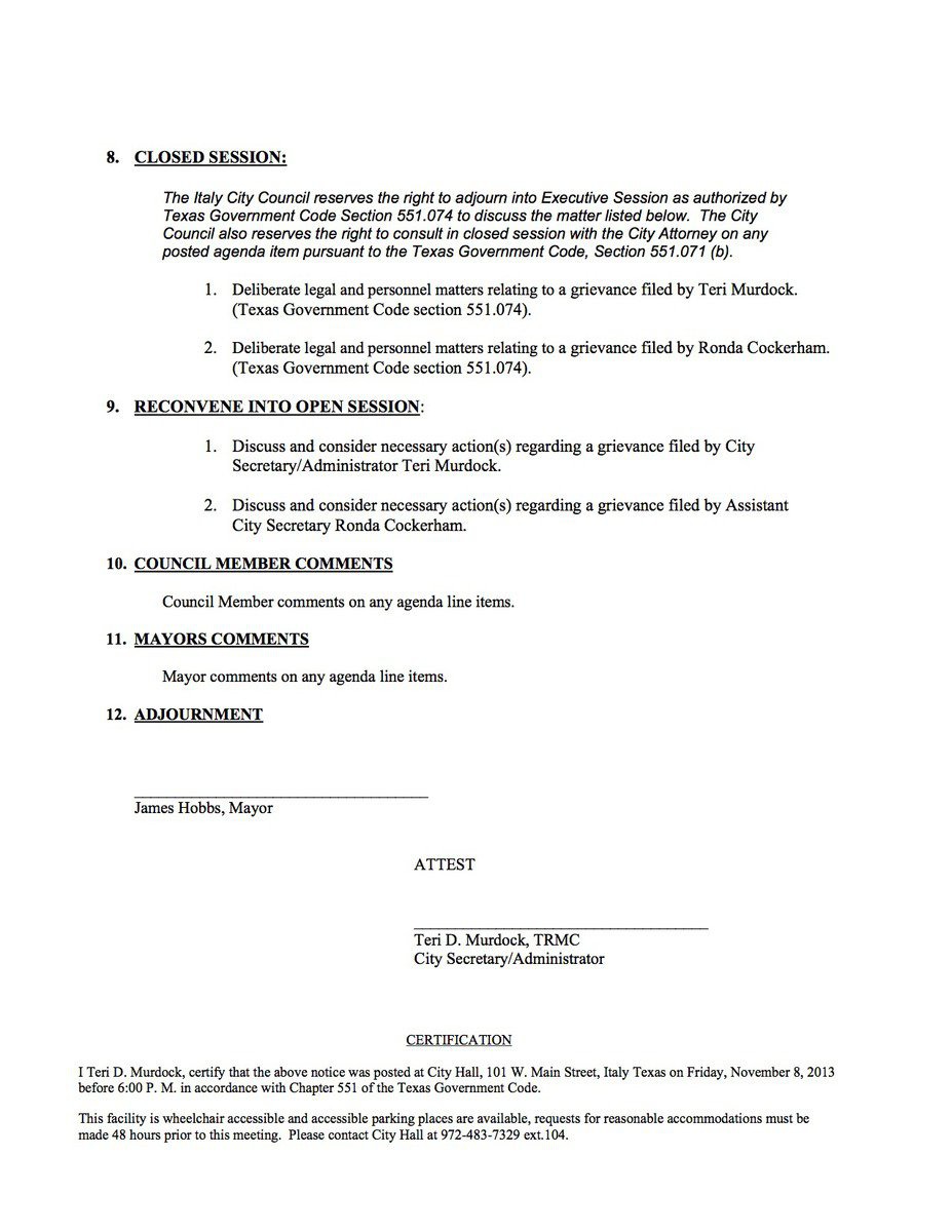
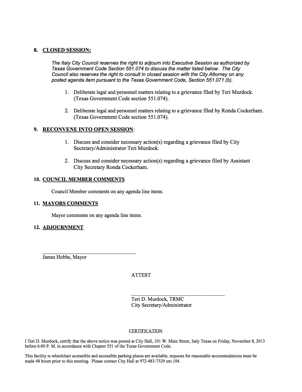
Agenda: Italy City Council Meeting and Hearing-Monday, November 11, 2013

  • « previous
  • story
  • album
  • next »
Image:

Download original photo

© 2002-2018 Neotribune Inc | Terms of Service | Privacy Policy | Trademarks | Contact