• Neotribune®

Image:

Italy Neotribune

  • Front Page
  • Sections
  • Youtube

Agenda: Italy City Council Meeting – Monday, December 9, 2013

  • « previous
  • story
  • album
  • next »
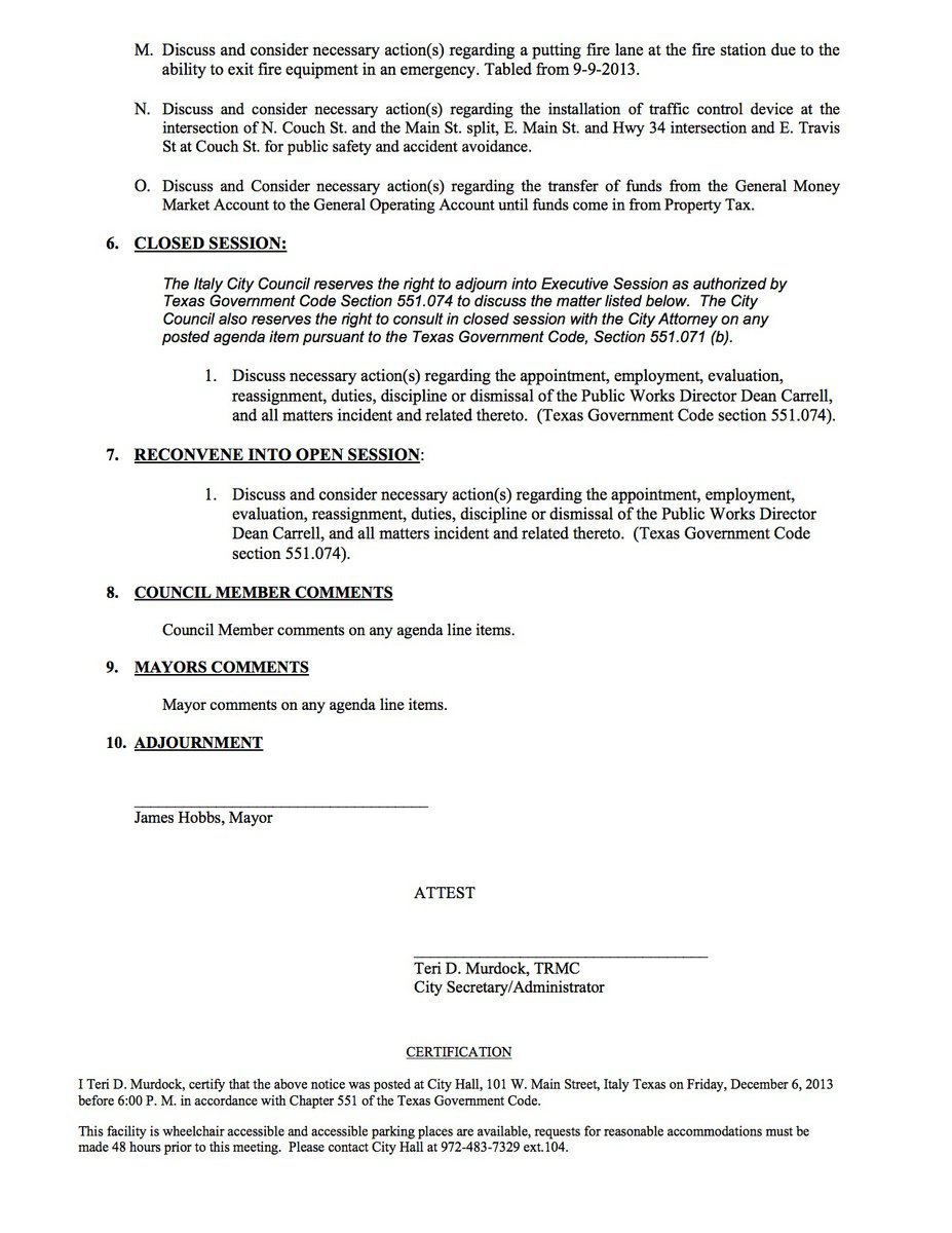
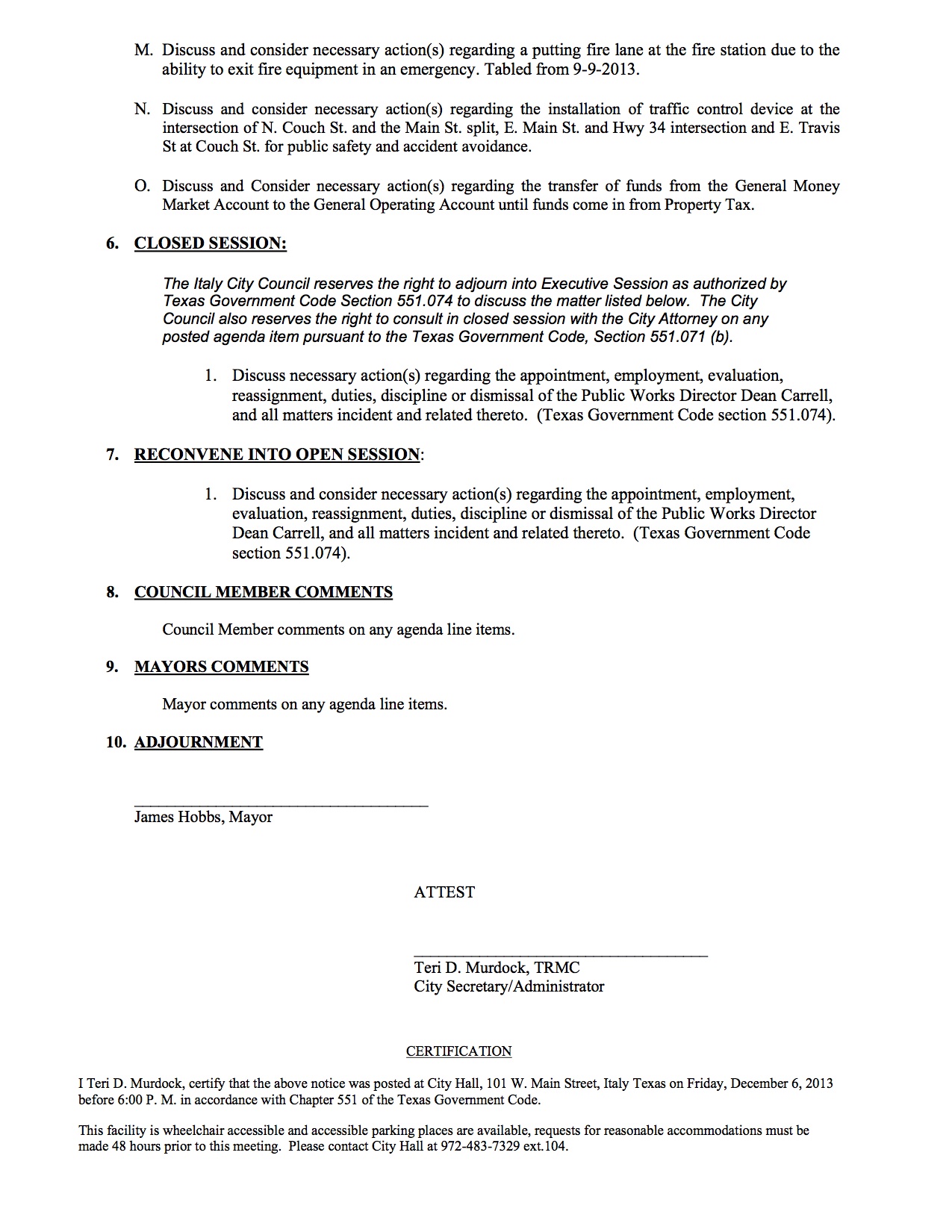
Image: December 9, 2013 City Council meeting agenda – page 2

December 9, 2013 City Council meeting agenda – page 2 (http://www.ci.italy.tx.us)

Download original photo

© 2002-2018 Neotribune Inc | Terms of Service | Privacy Policy | Trademarks | Contact