• Neotribune®

Image:

Italy Neotribune

  • Front Page
  • Sections
  • Youtube

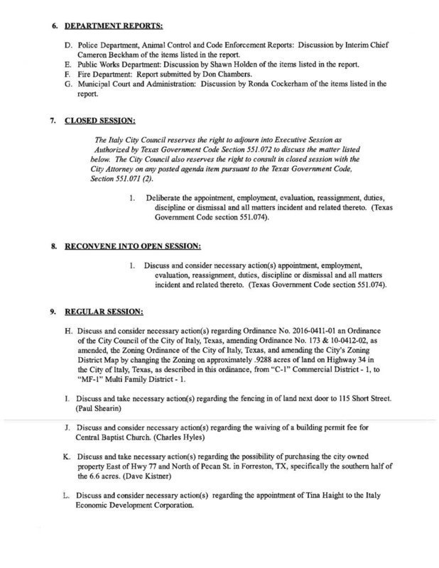
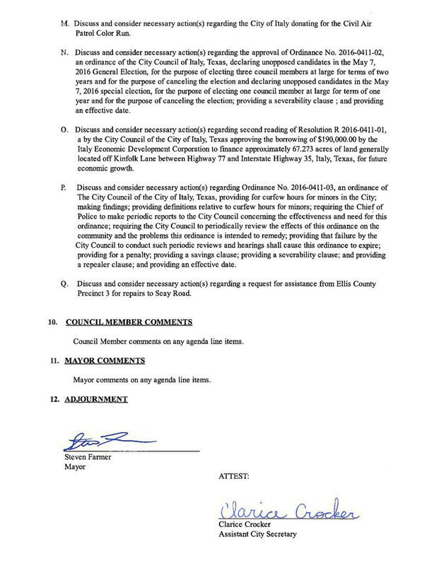
Agenda: Italy City Council Meeting — Monday, April 11, 2016

Image:
Image:
Image:
Image:

Return to story

 
© 2002-2018 Neotribune Inc | Terms of Service | Privacy Policy | Trademarks | Contact