• Neotribune®

Image:

Italy Neotribune

  • Front Page
  • Sections
  • Youtube

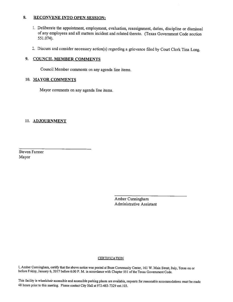
Agenda: Italy City Council Public Hearing Meeting – Monday, January 9, 2017

  • « previous
  • story
  • album
  • next »
Image:

Download original photo

© 2002-2018 Neotribune Inc | Terms of Service | Privacy Policy | Trademarks | Contact