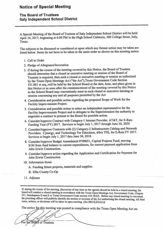
Agenda: Italy ISD School Board Called Meeting—Monday, April 10, 2017
The Italy ISD Board of Trustees will have a called meeting on Monday, April 10th, 2017 in the Italy High School Cafeteria, 300 S. College Street, Italy. Meeting time is slated for 6pm.
The meeting is open to the public. Everyone is welcome to attend.
