Chamber Involuntarily Dissolved in August 2007
Involuntary Dissolution letter — Letter from the Texas Secretary of State dissolving the Italy Chamber of Commerce incorporation. (Texas Secretary of State)
Chamber entity history — The Italy Chamber of Commerce began in 1983. (Texas Secretary of State)
Continued Chamber history — The Chamber’s charter was renewed in 1996 and then dissolved in 2007. (Texas Secretary of State)
Notice to file (Texas Secretary of State)
Last notice (Texas Secretary of State)
1994 Chamber Bylaws (Texas Secretary of State)
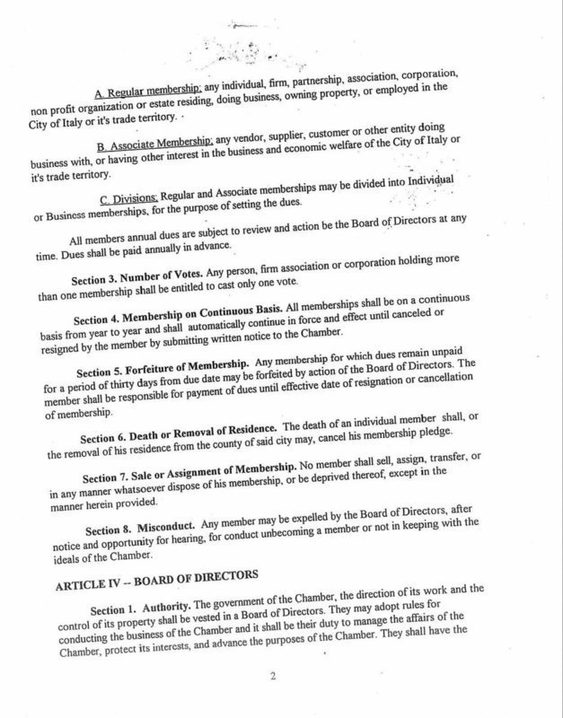
Bylaws page 2 (Texas Secretary of State)
Bylaws page 3 (Texas Secretary of State)
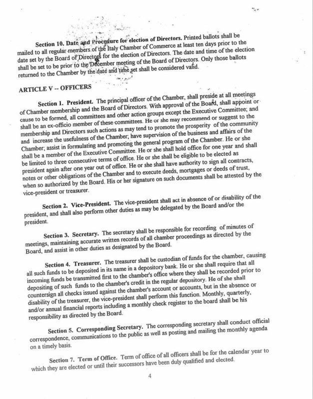
Bylaws page 4 (Texas Secretary of State)
Bylaws page 5 (Texas Secretary of State)
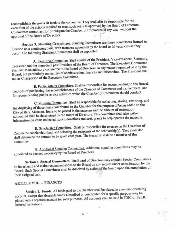
Bylaws page 6 (Texas Secretary of State)
Bylaws page 7 (Texas Secretary of State)
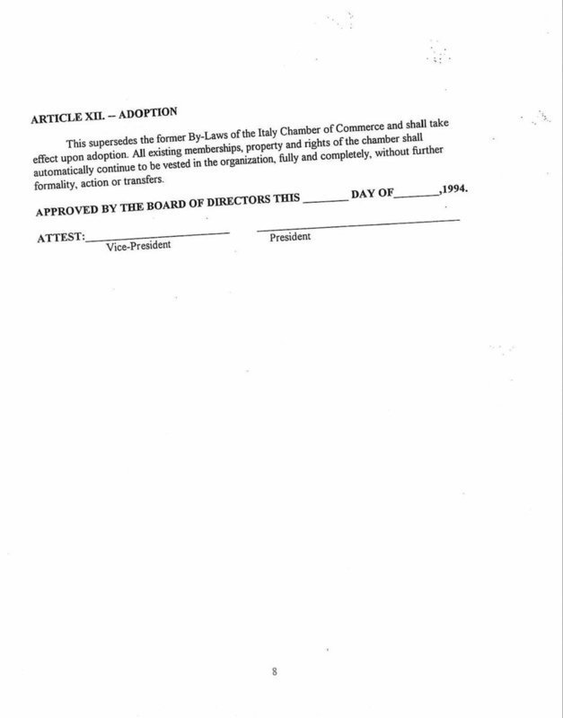
Bylaws page 8 (Texas Secretary of State)












