• Neotribune®

Image:

Italy Neotribune

  • Front Page
  • Sections
  • Youtube

Chamber Involuntarily Dissolved in August 2007

  • « previous
  • story
  • album
  • next »
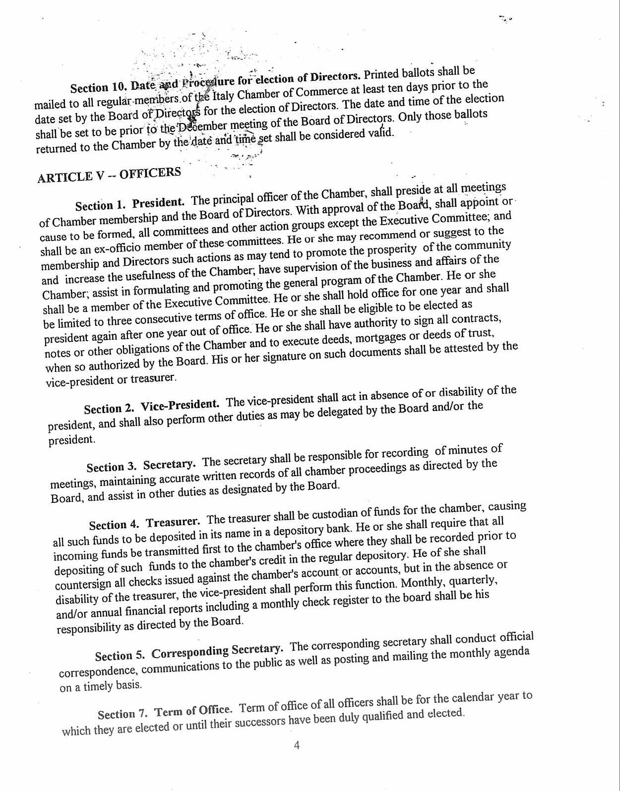
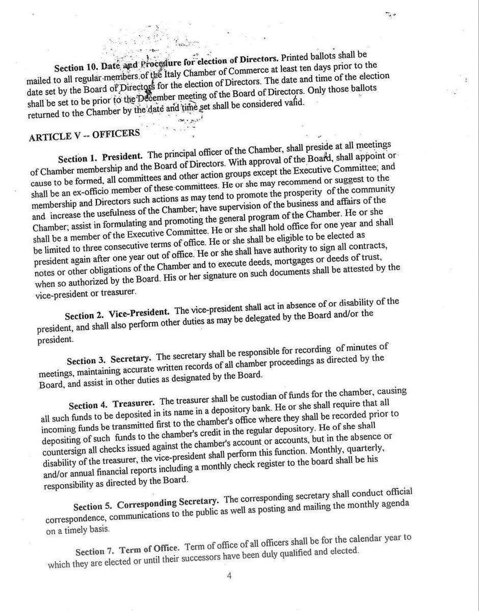
Image: Bylaws page 4

Bylaws page 4 (Texas Secretary of State)

Download original photo

© 2002-2018 Neotribune Inc | Terms of Service | Privacy Policy | Trademarks | Contact