• Neotribune®

Image:

Italy Neotribune

  • Front Page
  • Sections
  • Youtube

John Droll named to Italy City Council

  • « previous
  • story
  • album
  • next »
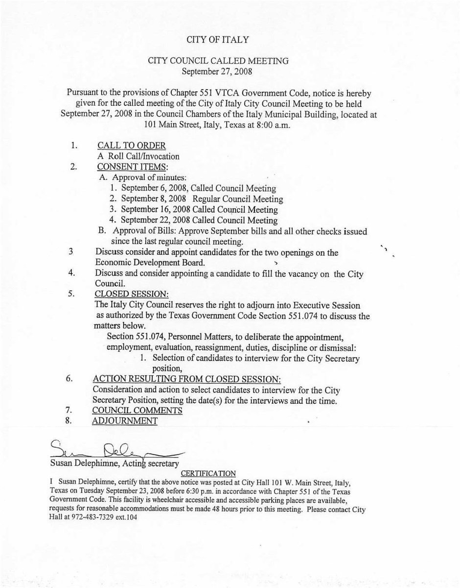
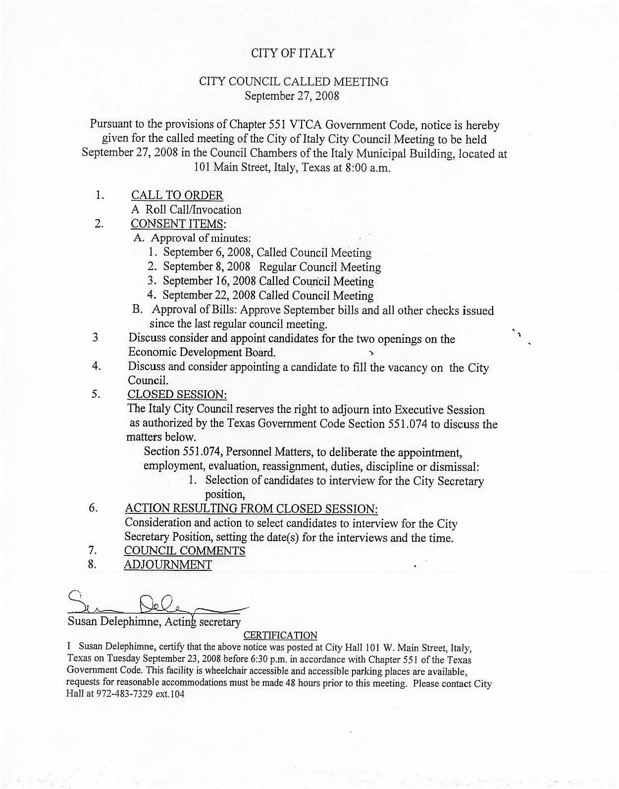
Image: Agenda for meeting 9/27/2008 — Agenda for the called Italy city council meeting held Saturday, September 27, at 8:00 a.m.

Agenda for meeting 9/27/2008 — Agenda for the called Italy city council meeting held Saturday, September 27, at 8:00 a.m. (City of Italy)

Download original photo

© 2002-2018 Neotribune Inc | Terms of Service | Privacy Policy | Trademarks | Contact